Wattmeter (3 phases)

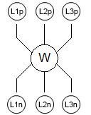
The wattmeter with three phases is used to measure effective power in electric circuits with three-phase alternating current. The connections L1p and L1n are connected in series of the first phase, the connections L2p and L2n are connected in series of the second phase and connections L3p and L3n are connected in series of the third phase.

Apparent power, reactive power and power factor can be measured with this wattmeter in addition to effective power.

Adjustable parameters

Designation Range Default value
Time interval 0.001 ... 100 s 0.1