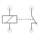
Relay with break contact
The relay consists of a coil and a break contact. The response time varies depending on the time constant of the coil.
The time constant indicates when 63% of the nominal current is reached if the nominal voltage is applied abruptly.
Adjustable parameters
| Designation | Range | Default value |
|---|---|---|
| Rated voltage | 0.1 ... 400 V | 12 |
| Rated power | 0.1 ... 10000 W | 1.5 |
| Time constant (Coil) | 0.01 ... 1000 ms | 2.5 |
Failure models
| Failure model | Description |
|---|---|
| Relay coil broken | The relay cannot pick up because current cannot flow through the broken relay coil. |
| Relay coil shortcut | The installation of the coil is faulty, creating a short circuit. The coil resistance specified in the failure configuration is used. |
| Relay picked up permanently | The contacts are being actuated permanently due to a mechanical defect. |
| Relay does not pick up | The contacts cannot be actuated due to a mechanical defect. |
| Relay does not drop out | Once the relay has picked up, it no longer drops out. |
| Designation | Range | Default value |
|---|---|---|
| Resistance | 1e-3 ... 1E8 Ohm | 1 |